事件的信息量随着事件发生概率的变大而 递减,信息不为负
两个不相关事件同时发生所产生的信息: h(x,y) = h(x) + h(y)
两个事件的概率满足: p(x,y) = p(x) * p(y).
对数形式的 真数相乘=>对数相加
信息: 𝐡(𝐱) = −𝒍𝒐𝒈𝟐𝒑(𝒙)

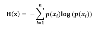
熵: 𝐇(𝐱) = −𝒔𝒖𝒎(𝒑(𝒙)𝒍𝒐𝒈𝟐𝒑(𝒙))
𝐟(𝐱) = −𝒍𝒐𝒈𝟐𝒙 函数图像

交叉熵
交叉熵: 两个事件的分布相似情况, H(p,q) = H(p) + KL(p,q)
KL散度用来衡量真实分布和预测分布的差异情况
假设 两个事件的概率分布相同则有:
∵ p=q,则 KL(p,q)=0
∴ H(p,q) = H(p)
根据 以上推导可知:
假设 p = [0,1,0]
H(p) = -log2(p) = 0 # P事件的信息为0 惊喜度最低
H(p,q) = 0 + KL(p,q) = KL(p,q)
所以H(p,q) = -plog(q) = -1log(q) # 其实就是计算KL最小值 KL(p,q) = 0, p=q